My works
botoru
Follow
Following
Hire
Collect
Share
Share with friends & colleagues
My works design by botoru
Copy link
Email
Messages
WhatsApp
Messenger
Facebook
X.com
Linkedin
Report
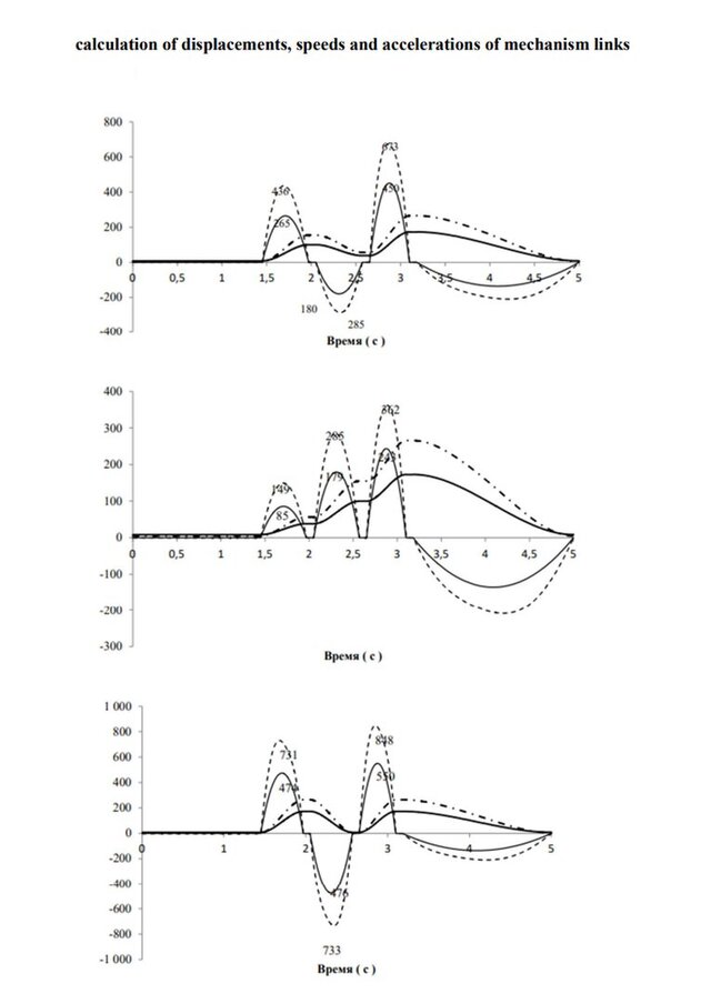
All the works in my portfolio have been implemented in reality and have already been tested by time.
Published
Aug 21, 2025
in
CAD Design
Engineering
FEA Finite Element Analysis
engieering
Rendering Images